首页 > 交易信息 > 水利工程 > 招标公告

关于连云港市石梁河水库生态修复一期工程库区截污治污工程施工的公告

【信息发布时间:2021-07-29 08:00  阅读次数:】 【我要打印】 【关闭】

连云港市石梁河水库生态修复一期工程库区截污治污工程施工招标公告

 

一、招标条件

本招标项目连云港市石梁河水库生态修复一期工程库区截污治污工程已由连云港市发展和改革委员会以连发改行服发[2021]9号文批准建设,资金来源为政府专项债及专项资金,现已落实。招标人为连云港市交通集团有限公司,委托江苏武晋工程咨询有限公司对本工程进行公开招标。

二、项目概况与招标内容

1、项目概况

石梁河水库库区范围内涉及赣榆区班庄镇、东海县石梁河镇的17个村(其中贾庄村和刘金村不在本次招标范围内),其中赣榆区8个村、东海县9个村,库区范围内农村生活污水处理设备设施不完善,村庄内分布分散式和少量的集中式畜禽养殖,种植业的农药化肥流失率高。农村生活污水、畜禽养殖污染、农业面源污染等三类污染是汇入水库污染总量的主要来源。

本工程建设总面积约为83.78万平方米,一是对排往库区的污水建设具有沉淀及垃圾截留功能的污泥池约1444平方米,配套建设承担净化功能的人工湿地面积约21.84万平方米、生态岛屿约1.18万平方米;二是针对重污染区域建设生态塘约10.29万平方米,搭配一体化污水处理设施6座及滞留塘980平方米等来强化治污效果;三是通过建设生态河道约19.62万平方米、生态沟渠约3.24万平方米,配套绿地面积约27.37万平方米,提升尾水净化效果,使入库水体达到地表水Ⅳ类标准,汇入石梁河,构建面源污染拦截、沉淀、净化和达标排放的生态治理系统。本项目工程投资额约4600万元。

2、招标内容

连云港市石梁河水库生态修复一期工程库区截污治污工程施工,包括绿化工程、一体化污水处理设备、潜流人工湿地、表流人工湿地、滞留塘、生态河道、生态塘、垃圾截留网、拦水坝、生态沟渠、生态岛、水系沟通等。详见工程量清单及设计文件。

3、施工质量要求:达到合格标准。

4、计划工期

2021年12月底前完成不少于7个村庄的截污治污工程施工,2022年3月底前完成所有村庄的截污治污工程施工,具体开工时间以总监签发的开工通知为准。

三、投标申请人资格要求

1、投标申请人须具有市政公用工程施工总承包一级及以上或环保工程专业承包三级及以上或水利水电工程施工总承包三级及以上独立法人资质,且具有省部级建设行政主管部门颁发的安全生产许可证,具有企业基本户开户许可证或者企业基本存款账户信息资料。

2、拟任项目经理须具市政公用工程专业或水利水电工程专业一级注册建造师资格。投标人拟任的项目经理目前无在建工程(执行苏水基[2016]17号文,由投标人自行承诺,时间为本次招标公告发布时间以后,格式详见招标文件“投标人承诺书”)。

3、项目技术负责人须具有中级及以上技术职称。

4、投标人近五年(2016年1月1日以来)具有2000万元及以上市政公用工程或环保工程或水利工程业绩。

5、法定代表人(或企业主要负责人)(A类)、拟任项目经理(B类)、专职安全生产管理员(C类)须具有相关行政主管部门颁发的安全生产考核合格证书。

6、委托代理人及项目部主要管理人员必须为本单位正式职工,须提供2021年1月以来连续不少于6个月的参保证明(加盖社保中心章或社保中心参保缴费证明电子专用章。未缴纳社保的事业性质投标单位人员须提供单位聘用合同;退休返聘人员须提供单位聘用合同及退休证明,后同)。

7、投标人(超过3年)、法定代表人(或企业主要负责人)(超过5年)、项目负责人(超过5年)无行贿犯罪记录采用信用承诺方式由投标人自行承诺(由投标人自行承诺,时间为本次招标公告发布时间以后,格式详见招标文件“投标人承诺书”)。

8、投标人未被列为失信被执行人,本工程执行苏信用办【2018】23号“关于印发《关于在公共资源交易领域的招标投标活动中建立对失信被执行人联合惩戒机制的实施意见》的通知”,以“信用中国(www.creditchina.gov.cn)”公布的信息为准。(由投标人自行承诺,时间为本次招标公告发布时间以后,格式详见招标文件“投标人承诺书”)。

9、本次招标不接受联合体投标。

10、本次招标实行资格后审,资格审查的要求见招标文件。资格后审不合格的投标人投标文件将按否决投标处理。

四、评标办法

本工程采用综合评分法,具体细则详见招标文件。

五、投标报名及招标文件的获取

1、2021年7月28日至2021年8月4日(北京时间,下同)为招标文件发售期,凡有意参加投标者,请在招标文件发售期满之前完成如下工作:

2、投标单位进入“连云港市公共资源交易网”, 通过CA证书登录【投标人登录】——【水利工程】,进入“交易乙方”,在“招标文件下载”中,进行所参加项目“信息录入”、“下载招标文件”,具体流程详见下载专区“投标人操作手册”;没有按规定在网上完成“信息录入”、“下载招标文件”的投标单位,其投标文件将被拒收,由此造成的不利后果由投标单位自行承担。【操作系统具体事项联系技术服务电话:4009980000;张工18505182641】。

3、如果您是第一次在连云港地区进行网络投标,请您先联系江苏CA公司办理网络投标密码锁和企业电子签章,然后联系国泰新点软件公司进行密码锁的激活,用密码锁登陆连云港市公共资源交易网站会员系统进行诚信信息库的操作,以上步骤不进行或操作不完善,可能导致无法进场交易。

连云港市公共资源交易中心地址:连云港市海州区凌洲东路9号政务服务中心(3号楼-公共资源交易中心)

江苏CA(连云港办事点):连云港市海州区凌洲东路9号政务中心3号楼一楼CA证书窗口。

密码锁激活:市区国有项目(国泰新点软件公司负责激活)

登录网站:连云港市公共资源交易网(http://spzx.lyg.gov.cn/TPFront/)

江苏CA 总部(南京) 025-96010;连云港孙莉莉18005133017

4、购买招标文件

(1)完备上述准备工作后,在第4.1款规定的招标文件发售期内通过交易平台支付方式并按交易平台的规定购买招标文件。

(2)招标文件售价¥:600 元整,售后不退。

注:投标人请在报名期间内下载招标文件,如未在规定时间内下载招标文件由此产生的后果由投标人自行承担。

六、投标文件的递交

1、投标文件(电子投标文件)递交的截止时间(投标截止时间,下同)为2021年8月19日15时00分。

2、递交地点:投标人自行选择任意地点参加远程开标会。(本工程采用远程不见面交易模式)。

注:本项目采用远程不见面交易模式,通过不见面交易系统及相应的配套硬件设备(摄像头、话筒、麦克风等)完成远程解密、评标办法与系数抽取、开标现场异议及回复、开标唱标、等交互环节。相关要求和说明如下:

(1)远程开标项目的时间均以国家授时中心发布的时间为准;

(2)开标当日,投标人不必抵达开标现场,仅需在任意地点通过连云港市不见面交易系统参加开标会议( 连云港不见面交易系统地址:http://218.92.36.85:8186/BidOpening/bidopeninghallaction/hall/login;

(3)投标文件递交截止时间前,招标人提前进入连云港市不见面交易系统,播放测试音频,各投标人的授权委托人(必须是项目负责人)提前进入不见面交易系统,根据操作手册(操作手册下载地址:http://spzx.lyg.gov.cn/lygweb/xyxx/20210408/7b6b4c55-f520-4937-904c-f6d08b0371dc.html)进入相应标段的开标会议区收听观看实时音视频交互效果并及时在讨论组中反馈,未按时加入开标会议区并完成登录签到操作的或未能在开标会议区内全程参与交互的,视为放弃交互和放弃对开评标全过程提疑的权利,投标人将无法看到解密指令、异议回复、唱标等实时情况,并承担由此导致的一切后果;

(4)投标文件递交截止时间后,招标人将在系统内公布投标人名单并核验投标保证金递交情况,然后通过开标会议区发出投标文件解密的指令,投标人在各自地点按规定时间自行实施远程解密,投标人解密限定在发出投标文件解密的指令后30分钟内完成。因投标人网络与电源不稳定、未按操作手册要求配置软硬件、解密锁发生故障或用错、故意不在要求时限内完成解密等自身原因,导致投标文件在规定时间内未能解密、解密失败或解密超时,视为投标人撤销其投标文件,系统内投标文件将被退回;因网上招投标平台发生故障,导致无法按时完成投标文件解密或开、评标工作无法进行的,可根据实际情况相应延迟解密时间或调整开、评标时间(友情提示:若投标人已领取副锁(含多把副锁)请注意正副锁的使用差别)。本项目在限定的解密时间内,只要有一家投标人解密成功,即视为网上招投标平台运行无故障。

(5)为顺利实现本项目开评标的远程交互,建议投标人配置的硬件设施有:高配置电脑、高速稳定的网络、电源(不间断)、CA锁、音视频设备(话筒、耳麦、高清摄像头、音响)、扫描仪、打印机、传真机、高清视频监控等;建议投标人具备的软件设施有:IE浏览器(版本必须为11及11以上),江苏省互联互通驱动。为保证交互效果,建议投标人选择封闭安静的地点参与远程交互。因投标人自身软硬件配备不齐全或发生故障等问题而导致在交互过程中出现不稳定或中断等情况的,由投标人自身承担一切后果。

(6)投标人必须在当日开标时间(2021年8月19日15时00分)前进行签到,否则无法参与后续开标过程,投标人在签到时,需填写联系人姓名、手机号码(手机号码务必能打通,否则答疑联系不上,产生的所有后果由投标人自行承担)。

七、现场踏勘及标前会

招标人不组织勘察现场,不召开投标预备会。

八、评标标准和方法

评标办法前附表

序号

评分因素

分值

评审标准

 

分值构成

100

一、投标报价:60分

二、投标人信用、业绩及项目管理机构:16分

三、施工组织设计:24分

1

投标报价

60

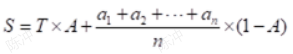
评标基准价:

T为最高限价;A为最高限价权重系数,取0.4、0.5、0.6三者选一,由投标人代表现场抽取确认;

投标人报价均值M:

当有效报价n>5个时,去掉1个最高投标价后的算术平均值;当有效报价n>9个时,去掉2个最高价和1个最低价后的算术平均值;当有效报价的投标人n>15时,去掉3个最高报价和2个最低报价后的算术平均值,n≤5时,无需剔除。

①投标报价(算术修正后,下同)在评标基准价 98%-100%(含98%、100%)的得60分;

②投标报价在评标基准价 98%~95%(含 95%)范围内的,每 低 1 个百分点,在60 分基础上扣 0.25分;

③投标报价在评标基准价 95%以下的,每低 1 个百分点,在第 2 条扣分的基础上扣 0.5分;

④投标报价在评标基准价 100%~103%(含 103%)范围内的,每高 1 个百分点,在 60分基础上扣 1 分;

⑤投标报价在评标基准价 103%以上的,每高 1 个百分点,在第 4 条扣分的基础上扣 1.5分;

中间按内插计算,上述计算结果得分四舍五入,小数点后保留 2 位小数。最低得 0 分。

2

投标人信用、业绩及项目管理机构

16

 

(1)

投标人业绩

10

近5年内承担过单项合同金额在3000万元及以上的市政公用工程或环保工程或水利工程业绩,有1项得2分,最多得10分。提供中标通知书、施工合同及竣工(或完工)证明,在投标文件中提供相关的原件扫描件,否则不得分。

注:类似业绩说明:近5年指2016年1月1日至今,以完工证明或竣工验收鉴定书证明的时间为准,单项合同金额以施工合同为准。

(2)

项目负责人

2

近5年内担任过单项合同金额在3000万元及以上的市政公用工程或环保工程或水利工程项目的项目负责人得2分,最多得2分。提供中标通知书、施工合同及竣工(或完工)证明,在投标文件中提供相关的原件扫描件,否则不得分。

注:1、担任项目负责人的,须在中标通知书或合同中体现,未体现的须业主出具相关证明并加盖公章,否则不予计分。

2、类似业绩说明:近5年指2016年1月1日至今,以完工证明或竣工验收鉴定书证明的时间为准,单项合同金额以施工合同为准。

(3)

项目管理机构

4

(1)技术负责人具有高级工程师及以上技术职称的,得2分,最多得2分。

(2)项目部组织机构健全,人员配置合理,施工、质量、安全、材料、资料等管理人员配备齐全并持证上岗,得2分,缺1项扣0.4分。

3

施工组织设计

24

 

(1)

绿化工程

2

绿化施工方案与技术措施合理可行得2分。有缺陷扣0.1~2分,没有描述得0分。

(2)

一体化污水处理

2

一体化污水处理设备及施工方案与技术措施合理可行得2分。有缺陷扣0.1~2分,没有描述得0分。

(3)

生态滞留塘

2

生态滞留塘施工方案与技术措施合理可行得2分。有缺陷扣0.1~2分,没有描述得0分。

(4)

潜流人工湿地

2

潜流人工湿地施工方案与技术措施合理可行得2分。有缺陷扣0.1~2分,没有描述得0分。

(5)

表流人工湿地

2

表流人工湿地施工方案与技术措施合理可行得2分。有缺陷扣0.1~2分,没有描述得0分。

(6)

生态河道

2

生态河道施工方案与技术措施合理可行得2分。有缺陷扣0.1~2分,没有描述得0分。

(7)

生态沟渠及生态岛屿

2

生态沟渠及生态岛屿施工方案与技术措施合理可行得2分。有缺陷扣0.1~2分,没有描述得0分;

(8)

资源配备计划

2

设备、劳动力、材料和计划资金使用计划等合理、措施可行得2分,有缺陷扣0.1~2分,没有描述得0分;

(9)

工程进度计划与保证措施

2

有详细的施工总进度计划,施工工序、时间安排合理,工期保证措施可行得2分,有缺陷扣0.1~2分,没有描述得0分;

(10)

质量、安全管理体系与措施

2

质量、安全控制管理体系及措施内容全面得2分,有缺陷扣0.1~2分,没有描述得0分;

(11)

文明施工管理体系与措施

2

文明施工管理体系、文明工地创建方案及措施内容全面得2分,有缺陷扣0.1~2分,没有描述得0分;

(12)

环境保护、水土保持

2

环境保护、水土保持措施合理得2分,有缺陷扣0.1~2分,没有描述得0分;

九、发布公告的媒介

本次招标公告在连云港市公共资源交易网发布。

十、联系方式

招 标 人:连云港市交通集团有限公司

联 系 人:孙工

电    话:0518-85817639

 

招标代理机构:江苏武晋工程咨询有限公司

地    址:南京市江宁区胜利路89号紫金研创中心3号楼802室

联 系 人:陈婷、徐明

电    话:025-52161262-8001

 

特别提醒:

1、如果您是第一次在连云港地区进行网络投标,请您先联系CA公司和江苏翔晟办理网络投标密码锁和企业电子签章,以上步骤不进行或操作不完善,可能导致无法购买招标文件。

2、CA数字证书、江苏翔晟(连云港办事点):连云港市海州区凌州东路9号连云港市政务服务中心3号楼一楼大厅CA签章窗口。

3、投标过程中遇到软件问题可联系相应软件公司寻求技术支持。

支持电话:400-998-0000,连云港本地技术支持电话:0518-85861319,黄工:15896100880(造价)

CA公司联系方式:

企业名称

中国金融认证中心

江苏省国信数字科技有限公司

CA名称

CFCA

国信CA

联系人

连云港孙丽丽18005133017

连云港耿立珍17751872787

周梦雪15298603303

魏飞18261319191

电话

公司客服:4001662366

客服电话:4000251010

办公地址

连云港市海州区凌州东路9号政务服务中心3号楼一楼大厅CFCA窗口

连云港市海州区凌州东路9号政务服务中心3号楼一楼[国信CA]窗口

 

附件:
2b9055e4-8e0c-4389-992f-7ed1bb496a8c