首页 > 交易信息 > 水利工程 > 招标公告

关于石梁河水库2021年省级水利工程维修项目三标段的公告

【信息发布时间:2021-09-08 10:35  阅读次数:】 【我要打印】 【关闭】

石梁河水库2021年省级水利工程维修项目三标段

招标公告

一、招标条件

石梁河水库2021年省级水利工程维修项目已经市水利局(连水管[2021]61号)批准,建设资金已落实。招标人为连云港市石梁河水库管理处,江苏淮水工程管理有限公司受招标人委托具体负责本工程的招标事宜。项目已具备招标条件,现对该项目进行公开招标。

二、项目概况与招标范围

石梁河水库2021年省级水利工程维修项目位于连云港市石梁河水库。

本项目共分为四个标段,本次招标范围为石梁河水库2021年省级水利工程维修项目三标段(合同编号:LYQHSLHSJWX-2021-SG03)。主要建设内容包括:①市石梁河水库主坝迎水面新增砼罩面(大堤桩号0+300~2+000);②蒋庄漫水闸浆砌块石新增砼罩面;③石梁河水库北泄洪闸闸墩表面碳化处理工程;④主坝背水坡植物防护更新;⑤启闭机房、管理房内外墙处理及栏杆处理工程;⑥标识标牌更换;⑦其他零星工程等。

质量:合格。

工期:60日历天(具体开工时间以总监工程师签发的开工批复为准)。

三、投标人资格要求

1.投标人须具备独立订立合同的能力,提供合法有效的营业执照;

2.投标人资质:须具备水利水电工程施工总承包叁级及以上资质,具有有效的安全生产许可证及基本户开户许可证(或基本存款账户信息材料);

3.投标项目经理须具备水利水电工程注册建造师贰级及以上资质,技术负责人具有水利行业中级及以上职称;

4.投标人法定代表人、项目经理和专职安全管理人员必须持有在本单位注册的有效的水行政主管部门颁发的安全生产考核证书(分别为A、B、C三类);

5.提供拟投入本工程的项目负责人(项目经理)和技术负责人必须为本单位正式职工,提供劳动合同(有效期内)同时提供2021年1月1日以来(可以含2021年1月1日)连续6个月及以上由社保机构出具的社保缴纳证明(加盖社保中心章或社保中心参保缴费证明电子专用章)等证明材料;

6.从业单位(投标人)履约考核信用等级赋分值须在C级(或2.0分)及以上(2020年施工、监理、设备类从业单位履约考核信用等级赋分值及应用见江苏水利网:http://jswater.jiangsu.gov.cn/art/2021/5/19/art_42984_9819748.html)。

7、被各级政府信用管理部门公布的失信被执行人(包括自然人和单位),在失信记录解除前,不得参加本项目的招标投标活动。

8.本次招标不接受联合体投标。

9.其他要求:

9.1投标人必须于开标前以企业法人的名义缴纳投标保证金,投标保证金必须从企业的法人基本存款账户缴纳。以个人、企业的办事处、分公司、子公司名义或从他人账户、投标人企业的其他账户缴纳的投标保证金无效。超出招标文件规定时间和要求递交投标保证金的一律不予接收,并按照招标文件有关规定作重大偏差处理。

9.2招标人谢绝挂靠单位参与本工程的投标。如在招投标过程中发现挂靠单位投标并中标的,将取消其中标资格,没收投标保证金;如发现挂靠单位报名,将取消其投标资格。

9.3投标企业整个招投标活动所提交的所有材料都必须是真实有效的,一旦发现有虚假行为,招标人将立即中止该投标人的投标活动,并上报相关主管部门追究责任。

10.法律法规规定的其他条件。

四、招标文件的获取

4.1招标文件获取时间为: 2021年09月08至2021年09月14日;

4.2投标单位进入“连云港市公共资源交易网”, 通过CA证书登录【投标人登录】——【水利工程】,进入“交易乙方”,在“招标文件下载”中,进行所参加项目“信息录入”、“下载招标文件”,具体流程详见下载专区“投标人操作手册”;没有按规定在网上完成“信息录入”、“下载招标文件”的投标单位,其投标文件将被拒收,由此造成的不利后果由投标单位自行承担。【操作系统具体事项联系技术服务电话:4009980000;张工18505182641】

4.3本项目招标文件售价(600元人民币,售后不退),提醒:请投标申请人务必在规定截止时间内获取招标文件,否则将导致投标失败。

4.4如果您是第一次在连云港地区进行网络投标,请您先联系江苏CA公司办理网络投标密码锁和企业电子签章,然后联系国泰新点软件公司进行密码锁的激活,用密码锁登陆连云港市公共资源交易网站会员系统进行诚信信息库的操作,以上步骤不进行或操作不完善,可能导致无法进场交易。

连云港市公共资源交易中心地址:

连云港市海州区凌洲东路9号政务服务中心(3号楼-公共资源交易中心)

江苏CA(连云港办事点):

连云港市海州区凌洲东路9号政务中心3号楼一楼CA证书窗口。

密码锁激活:市区国有项目(国泰新点软件公司负责激活)

登录网站:连云港市公共资源交易网(http://spzx.lyg.gov.cn/TPFront/)

江苏CA 总部(南京) 025-96010     连云港 孙莉莉 18005133017

五、现场踏勘及标前会

招标人不统一组织勘察现场,投标单位根据需要自行勘察现场,不召开投标预备会。

六、投标文件的递交

6.1 投标截止时间为:2021年09月29日09时00分。

6.2递交地点:投标人自行选择任意地点参加远程开标会。(本工程采用远程不见面交易模式)。

注:本项目采用远程不见面交易模式,通过不见面交易系统及相应的配套硬件设备(摄像头、话筒、麦克风等)完成远程解密、评标办法与系数抽取、开标现场异议及回复、开标唱标、等交互环节。相关要求和说明如下:

1.远程开标项目的时间均以国家授时中心发布的时间为准;

2.开标当日,投标人不必抵达开标现场,仅需在任意地点通过连云港市不见面交易系统参加开标会议( 连云港不见面交易系统地址:http://218.92.36.85:8186/BidOpening/bidopeninghallaction/hall/login;

3.投标文件递交截止时间前,招标人提前进入连云港市不见面交易系统,播放测试音频,各投标人的授权委托人(必须是项目负责人)提前进入不见面交易系统,根据操作手册(操作手册下载地址:http://spzx.lyg.gov.cn/lygweb/xyxx/20210408/7b6b4c55-f520-4937-904c-f6d08b0371dc.html)进入相应标段的开标会议区收听观看实时音视频交互效果并及时在讨论组中反馈,未按时加入开标会议区并完成登录签到操作的或未能在开标会议区内全程参与交互的,视为放弃交互和放弃对开评标全过程提疑的权利,投标人将无法看到解密指令、异议回复、唱标等实时情况,并承担由此导致的一切后果;

4.投标文件递交截止时间后,招标人将在系统内公布投标人名单并核验投标保证金递交情况,然后通过开标会议区发出投标文件解密的指令,投标人在各自地点按规定时间自行实施远程解密,投标人解密限定在发出投标文件解密的指令后30分钟内完成。因投标人网络与电源不稳定、未按操作手册要求配置软硬件、解密锁发生故障或用错、故意不在要求时限内完成解密等自身原因,导致投标文件在规定时间内未能解密、解密失败或解密超时,视为投标人撤销其投标文件,系统内投标文件将被退回;因网上招投标平台发生故障,导致无法按时完成投标文件解密或开、评标工作无法进行的,可根据实际情况相应延迟解密时间或调整开、评标时间(友情提示:若投标人已领取副锁(含多把副锁)请注意正副锁的使用差别)。本项目在限定的解密时间内,只要有一家投标人解密成功,即视为网上招投标平台运行无故障。

5.根据连建发(2018)95 号文规定,投标人拟派项目负责人须全程参与招投标过程(含异议投诉)。远程交互时,项目负责人须同时作为授权委托人全程参与,同时投标人参与交互的人员将一直被视为是投标人的授权委托人(项目负责人),投标人自行承担弄虚作假、随意更换人员所导致的一切后果。

6.为顺利实现本项目开评标的远程交互,建议投标人配置的硬件设施有:高配置电脑、高速稳定的网络、电源(不间断)、CA 锁、音视频设备(话筒、耳麦、高清摄像头、音响)、扫描仪、打印机、传真机、高清视频监控等;建议投标人具备的软件设施有:IE 浏览器(版本必须为11 及11 以上),江苏省互联互通驱动。为保证交互效果,建议投标人选择封闭安静的地点参与远程交互。因投标人自身软硬件配备不齐全或发生故障等问题而导致在交互过程中出现不稳定或中断等情况的,由投标人自身承担一切后果。

7.投标人必须在当日开标时间前进行签到,否则无法参与后续开标过程,投标人在签到时,需填写联系人姓名、手机号码(手机号码务必能打通,否则答疑联系不上,产生的所有后果由投标人自行承担)。

七、开标时间及地点:

开标时间:2021年09月29日09:00时

开标地点:连云港市凌洲东路9号3号楼二楼开标厅。(详见二楼电子信息屏幕);

八、评标办法:

综合积分法

序号

评分因素

评分标准

1

分值构成

(总分100分)

投标报价: 65分

施工组织设计:28分

投标人信用:4分

水利安全生产标准化:1分

业绩:2分

1.1

投标报价评分标准(65分)

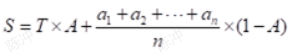
投标报价(65分)

T为最高限价;A为最高限价权重系数,取0.5、0.6、0.7三者选一,由招标人代表现场抽取确认;

M为经算术修正后的投标人报价的算术平均值(当有效投标数n≤4时,取所有有效投标人报价的算术平均值;当有效投标数9≥n≥5时,取剔除其中1个最高价和1个最低价后的算术平均值); n≥10时,取剔除其中2个最高价和3个最低价后的算术平均值)。

评标基准价

投标报价(算术修正后,下同)在评标基准价98%—100%(含98%、100%)的得65分,投标报价在评标基准价98%以下的,每低1个百分点,在65分基础上扣0.3分;投标报价在评标基准价100%以上的,每高1个百分点,在65分的基础上扣0.5分;中间按内插计算,上述计算结果得分四舍五入,小数点后保留2位小数。最低得0分。

1.2

 

施工组织设计评分标准(28分)

 

工场布置和其它临时设施布置(2分)

工场布置和其它临时设施布置方案合理可行得2分。有缺陷扣0.1~2分,无描述不得分;

主坝迎水面新增砼罩面(5分)

主坝迎水面新增砼罩面:方案与技术措施的描述,合理得5分。有缺陷扣0.1~5分,无方案不得分;

水闸浆砌块石新增砼罩面(5分)

水闸浆砌块石新增砼罩面:方案与技术措施的描述,合理得5分。有缺陷扣0.1~5分,无方案不得分;

闸墩表面碳化处理工程(2分)

闸墩表面碳化处理工程:方案与技术措施的描述,合理得2分。有缺陷扣0.1~2分,无方案不得分;

主坝背水坡植物防护更新(2分)

主坝背水坡植物防护更新:方案与技术措施的描述,合理得2分。有缺陷扣0.1~2分,无方案不得分;

启闭机房、管理房内外墙处理及栏杆处理工程(3分)

启闭机房、管理房内外墙处理及栏杆处理工程:方案与技术措施的描述,合理得3分。有缺陷扣0.1~3分,无方案不得分;

标识标牌更换(1分)

标识标牌更换:方案与技术措施的描述,合理得1分。有缺陷扣0.1~1分,无方案不得分;

其他零星工程(1分)

其他零星工程:方案与技术措施的描述,合理得1分。有缺陷扣0.1~1分,无方案不得分;

施工机具配置(1分)

施工机具配置合理得1分。有缺陷扣0.1~1分,无方案不得分;

工程进度计划与措施(1分)

施工进度计划合理、工期保证措施可行得1分,有缺陷扣0.1~1分,无方案不得分;

质量、安全管理体系与措施(3分)

质量、安全管理体系与措施内容全面得1分,有缺陷扣0.1~2分,无描述不得分;明确质量、安全负责人各得0.5分;

组织机构及主要人员配置(2分)

组织机构完善,施工、质检、安全、材料等管理人员配备齐全并持证上岗,得2分,缺1项扣0.5分(须提供相应的证书原件扫描件,否则不计分);

1.3

投标人信用评分标准(5分)

 

信用等级(4分)

1、按照2019年11月23日正式施行的《江苏省水利工程建设从业单位履约考核信用管理办法》(苏水规〔2019〕6号)规定,确定最新江苏省水利工程建设从业单位履约考核信用等级赋分值。

2、列入公布的2020年度水利工程建设从业单位信用等级赋分值表内的从业单位信用等级赋分值见赋分值表(http://jswater.jiangsu.gov.cn/art/2021/5/19/art_42984_9819748.html)。

3、未列入公布的最新水利工程建设从业单位信用等级赋分值表内的从业单位信用等级赋分值为2.90分。

水利安全生产标准化(1分)

一级赋分值为1分,二级赋分值为0.8分,三级赋分值为0.5分。非本省评定的二级和三级按上述标准赋分。

请投标人提供原件扫描件或者公示截图并加盖公章。

1.4

投标人业绩(2分)

 

业绩(2分)

投标单位近三年(2018年1月1日以来,含2018年1月1日,下同)有100万元及以上水利工程业绩有1项得1分,最高得2分;

以合同完工验收时间为准。

须提供有效的证明材料包括中标通知书、施工合同、完工证明或竣工验收鉴定书,三者缺一不可,须提供相应的证书原件扫描件,否则不计分。

 

九、联系方式

招标人:连云港市石梁河水库管理处

联系人:吴工   

联系电话:15061307555

招标代理机构:江苏淮水工程管理有限公司

地址:江苏淮水工程管理有限公司(地址:连云港市海州区学院路8号中共连云港市委党校教学楼B307室)

联系人:陆鑫

电话:18805138426、0518-81583130

特别提醒:1、如果您是第一次在连云港地区进行网络投标,请您先联系CA公司和江苏翔晟办理网络投标密码锁和企业电子签章,以上步骤不进行或操作不完善,可能导致无法购买招标文件。

2、CA数字证书、江苏翔晟(连云港办事点):连云港市海州区凌州东路9号连云港市政务服务中心3号楼一楼大厅CA签章窗口。

3、投标过程中遇到软件问题可联系相应软件公司寻求技术支持。

支持电话:400-998-0000,连云港本地技术支持电话:0518-85861319,黄工:15896100880(造价)

CA公司联系方式:

企业名称

中国金融认证中心

江苏省国信数字科技有限公司

CA名称

CFCA

国信CA

联系人

连云港孙丽丽 18005133017

连云港耿立珍 17751872787

周梦雪15298603303

魏飞18261319191

电话

公司客服: 4001662366

客服电话:4000251010

办公地址

连云港市海州区凌州东路9号政务服务中心3号楼一楼大厅CFCA窗口

连云港市海州区凌州东路9号政务服务中心3号楼一楼[国信CA]窗口

 

附件:
b58ed311-8440-4b6a-9c5f-89810273fa72