首页 > 交易信息 > 其他行业 > 招标公告

[招标公告]关于灌云县现代农业产业园农田基础设施项目(1+260~2+260m)施工的公告

【信息发布时间:2021-01-07 13:49  阅读次数:】 【我要打印】 【关闭】

灌云县现代农业产业园农田基础设施项目(1+260~2+260m)施工

招标公告

标段编号:GYZHJY202101002

1. 招标条件

    本招标项目灌云县现代农业产业园农田基础设施项目(1+260~2+260m)(项目名称)已由灌云县农业农村局(项目审批、核准或备案机关名称)以灌农【2020】209号(批文名称及编号)批准建设,建设资金来自财政(资金来源),项目出资比例为100%,招标人为灌云县农业农村局。项目已具备招标条件,现对该项目的工程施工进行公开招标,特邀请有兴趣的潜在投标人参加投标,江苏如浩项目管理咨询有限公司受招标人委托具体负责本工程的招标事宜。

2. 项目概况与招标范围

2.1项目地点:该工程位于灌云县;

2.2工期:计划于2021年2月1日开工(具体以监理签发的开工令为准),并于2021年4月30日竣工,工期90天。

2.3招标控制价:4473556.58元,具体建设内容详见工程量清单。

3.投标人资格要求:

(1)投标人有独立订立合同的能力,具有有效的营业执照、企业基本账户《开户许可证》或基本存款账户信息证明材料;

(2)投标人具有有效的水利水电工程施工总承包叁级及以上资质,且具有有效的安全生产许可证;

(3)投标人拟任本工程的项目负责人具备有效的水利水电工程专业二级及以上注册建造师资格;

(4)投标人的法定代表人、拟任项目负责人和专职安全管理人员必须具有有效的安全生产考核合格证书(分别为A、B、C类证);

(5)投标人拟任本工程的项目技术负责人必须具有工程类中级及以上技术职称;

(6)投标人及拟任项目负责人无不良行为承诺(格式见招标文件);

(7)投标人不拖欠农民工工资书面承诺(格式见招标文件);

(8)本工程要求投标人的授权委托代理人必须是拟任本工程的项目负责人(项目负责人为法定代表人不需提供法人授权委托书),提供并至少近6个月(2020年6月至2020年11月)连续缴纳社保证明原件;如为退休人员需提供单位聘用合同及退休证明;如为事业单位提供人事证明。

(9)本次招标不接受联合体投标。

(10)符合相关法律、法规规定的其他要求:

①本工程参照执行苏建建管(2013)508号文、连建发[2018]95号。

投标人及项目负责人无不良行为(应在公示有效期内的不良行为);投标人无借牌挂靠行为等采用信用承诺方式由投标人自行承诺(格式可自拟),承诺内容包括:对自身的信用状况、申请材料的真实性以及对违约责任做出承诺。企业不良行为省内以江苏省建设工程招标网公布为准,省外以各省(含地级市,不含县级市)行业管理网站(建设主管部门及公共资源交易部门)为准。(格式详见招标文件承诺书)

②本工程参照执行连建发[2018]421号,本次招标对项目负责人是否有在建工程和兼职情况不作为资格审查条件和评标因素,调整为标后管理,实行承诺制(由投标人就项目负责人中标后不影响办理工程建设手续且在岗履职等事项签署承诺书)。执行连建发(2018)421号即连云港市城乡建设局关于明确建设工程招投标有关问题的通知中第十条关于无理由撤诉和无故撤销举报、信访等问题第一款1、投标人在行使权利主张后又无理由撤诉,擅自放弃权利......,其行为作为市场不良行为记录信用系统。投标人应承诺若出现上述情况自动放弃中标资格。

   ③挂靠、出借、出让资质的一经查实,将对此不良行为进行曝光,限制其一年投标权。

④本工程参照执行苏信用办[2018]23号“关于印发《关于在公共资源交易领域的招标投标活动中建立对失信被执行人联合惩戒机制的实施意见》的通知”,以“信用中国”公布的“失信惩戒”查询对象模块的信息为准。

⑤投标人标中、标后被发现存在挂靠行为,围串标行为的,将被取消投标或中标(候选人)资格、投标保证金不予退还、履约保证金不予退还、合同解除及清除出场,已完成的工程量不予结算,一切损失自行承担。注:出借(挂靠)资质行为认定参照执行《建筑工程施工发包与承包违法行为认定查处管理办法的通知》(建市规(2019)1号)等文件涉及“违法转包、分包、挂靠”等条款精神。

4. 招标文件的获取

4.1获取时间:2021年 1 月 7 日至2021年 1 月12日;

4.2获取方式:投标单位进入“连云港市公共资源交易网”, 通过CA证书登录【交易平台】—【综合交易】—【投标人】,进入“交易乙方”,在“招标文件下载”中,进行所参加项目“信息录入”、“下载招标文件”,具体流程详见下载专区“综合交易投标人操作手册”;招标文件下载获取开始时间:2021年 1 月 7 日至2021年 1 月12日。没有按规定在网上完成“信息录入”、“下载招标文件”投标单位,其投标文件将被拒收,由此造成的不利后果由投标单位自行承担。【操作系统连云港国泰新点软件客服技术支持电话:400-998-0000,连云港本地技术支持电话:0518-85861319,黄工:15896100880】。

4.3本项目招标文件售价:500元人民币/标段,售后不退,提醒:请投标申请人务必在规定截止时间前获取招标文件,否则将导致投标失败!

5. 投标文件的递交

5.1递交投标文件截止时间(申请截止时间,下同)为2021 年 2 月 1 日 10  时 00 分,地点为 灌云县公共资源交易中心开标一室(江苏恒驰大厦9楼)。

5.2投标截止时间前完成网上投标文件上传。

5.3逾期送达或者未送达指定地点的投标文件,招标人不予受理。

6.资格审查方式:

本次招标采用资格后审方式进行资格审查,投标人提供以下有效的原件的扫描件:

1. 投标人营业执照;

2. 投标人资质证书;

3. 投标人安全生产许可证;

4. 投标人企业基本户开户许可证或企业基本存款账户信息证明;

5. 拟任项目负责人注册建造师证书;

6. 拟任项目技术负责人职称证书;

7. 法定代表人(A类)、拟任项目负责人(B类)、拟任专职安全员(C类)具备有效安全生产考核合格证书;

8. 投标人及拟任项目负责人无不良行为承诺(以招标文件中提供的承诺书格式为准);

9. 投标人不拖欠农民工工资承诺(以招标文件中提供的承诺书格式为准);

10. 拟任项目负责人中标后不影响办理工程建设手续且在岗履职等承诺(以招标文件中提供的承诺书格式为准);

11. 拟投入本工程的项目负责人与投标人签订的劳动合同及2020年6月至2020年11月连续缴费6个月及以上的社会保险缴费证明,如为退休人员需提供单位聘用合同及退休证明,如为事业单位提供人事证明;

12.投标人使用推荐品牌以外的投标产品,则需提供建设单位同意书,同意书需建设单位加盖公章(如有)。

注:本工程采用资格后审,对投标申请人资格的审查将依据:资格审查应提供的资料以企业诚信系统获取至投标文件中原件的扫描件或原件的扫描件用投标文件制作工具生成的投标文件上传为准。

所有投标人务必完善企业诚信库资料,将体现证件有效期、年检情况、基本信息及变更等相关内容清晰完整上传。如果因上传的扫描件不完善、不完整或无法清晰辨认或未提供的都将视为资格审查不合格。

7.入围方式的确定(部分参照执行苏建规字[2017]1号):

(1)评标入围条件:投标文件存在所列情况之一的,不再进行后续评标:

①至投标截止时间止,未足额递交投标保证金;

②投标函中载明的招标项目完成期限超过招标文件规定的期限;

③投标函中载明的投标质量标准未响应招标文件的实质性要求和条件;

④投标函中载明的投标报价高于招标控制价。

符合评标入围条件的投标文件即为进入评标入围环节的投标人,当进入评标入围环节的投标人超过20家(含20家)时,招标人选择评标入围方法: 方法一。

方法一:全部入围。

进入评标入围环节的投标人全部进入后续评标程序。

注:除确认评委评审和计算存在错误外,评标入围结果不因招投标当事人的质疑、投诉情形而改变。

8.评标方法:综合评估法

本次评标采用综合评估法。评标委员会对满足招标文件实质性要求的投标文件,从投标报价、施工组织设计、信誉、业绩表等方面按照招标文件规定的评分标准进行综合计分,评分采用百分制,数据和评分的计算过程以及计算结果均保留两位小数,小数点后的第三位四舍五入,并按得分由高到低顺序推荐三名中标候选人,招标人应确定排名第一的中标候选人为中标人。如综合评分相等时,以投标报价低的优先;投标报价也相等的及其它情形应由招标人的法定代表人或授权委托人(需携带授权委托书及身份证)在交易中心摇号机上以摇号方式确定排序。

评审因素

评审标准

分值构成

(总分100分)

一、投标报价:65分

二、施工组织设计:20分

三、项目经理业绩:5分

四、投标人信用评分标准:5分

五、项目经理答辩:5分

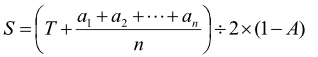
评标基准价计算方法

本工程采用评标基准价,评标基准价为

T为最高限价,有效标n>5时,为剔除投标人最高报价和最低报价后的各投标报价,n≤5时,无需剔除。)A为下浮系数,分别为1%、1.5%、2%,开标时由投标人代表现场随机抽取确定每标段下浮系数。

本工程设最高限价,投标报价高于最高限价的作无效标处理。

一、投标报价

(65分)

投标价(算术修正后,下同)等于评标基准价的,得65分;投标价高于评标基准价的,每上浮一个百分点扣0.9分;投标价低于评标基准价的,每下浮一个百分点扣0.6分。

中间值按比例内插计算。保留两位小数,小数点后第三位数字“四舍五入”。最低得分为零分。

二、施工组织设计

(20分)

 

1、施工现场地布置和临时设施设计(1.5分)

场地布置合理1分;临时设施设计合理0.5分。有缺陷,酌情扣分。

2、施工围堰及降排水方案、措施(1.5分)

方案合理、措施得当,得1.5分。有缺陷,适当扣分。

3、施工进度计划合理,工期保证措施(1.5分)。

计划合理1.5分;工期保证措施可行1.0分。有缺陷,酌情扣分。

4、施工机具设备及劳动力配置(1.5分)

施工机具、劳动力配置合理,能满足施工强度要求得1.5分。有缺陷,酌情扣分。

5、项目管理机构配置(2.0分)

项目管理机构配置合理、有框图,得1.5分,有缺陷,适当扣分。技术负责人为高级工程师得0.5分。

6、各分部分项工程施工工艺及质量保证措施(4.0分)

各分部分项工程施工工艺及质量保证措施合理可行,得4.0分。有缺陷,适当扣分。

7、混凝土工程施工方案及质量保证措施(2分)

混凝土生产、浇筑工艺及组织合理,能满足施工需要并有保证混凝土内外质量的措施,得2分;有特殊要求部位方案合理,措施可行,得1分。有缺陷,适当扣分。

8、砌体及垫层施工方案及质量保证措施(1.5分)

砌体及垫层施工方案及措施合理可行,得1.0分,质量保证措施可行得0.5分,有缺陷,适当扣分。

9、工程原材料等抽检的方案及质量控制措施(1.5分)

工程原材料(包括水泥、掺合料及外加剂等)、成品半成品、中间产品的合格性进行抽检的方案,得1.0分,质量控制措施合理,得0.5分。有缺陷,适当扣分。

10、质量保证体系及措施(1.0分)。

质量保证体系健全得0.5分;质量保证措施可行得0.5分。有缺陷,酌情扣分。

11、安全生产、文明施工及环境保护方案(2.0分)。

安全生产方案合理得1.0分;文明施工方案合理得0.5分;环境保证方案合理得0.5分。有缺陷,适当扣分。

三、项目经理业绩

(5分)

1、类似业绩:项目经理自2016年1月1日(以合同签订的时间为准)至今完成的类似工程(高标准农田建设项目或农田水利或土地整理工程或农业综合开发),合同造价400万元及以上的项目,每个得1分,最高得5分,须提供中标通知书、施工合同、竣工验收证书原件,三证齐全才能得分,原件不齐全不得分。

四、投标人信用评分标准

(5分)

信用等级(4分)

1、按照2019年11月23日正式施行的《江苏省水利工程建设从业单位履约考核信用管理办法》(苏水规〔2019〕6号)规定,确定最新江苏省水利工程建设从业单位履约考核信用等级赋分值。

2、列入公布的2019年度水利工程建设从业单位信用等级赋分值表内的从业单位信用等级赋分值见赋分值表(http://jswater.jiangsu.gov.cn/art/2020/6/29/art_42984_9271207.html)。

3、未列入公布的最新水利工程建设从业单位信用等级赋分值表内的从业单位信用等级赋分值为2.84分。

水利安全生产标准化(1分)

一级赋分值为1分,二级赋分值为0.8分,三级赋分值为0.5分。非本省评定的二级和三级按上述标准赋分。

请投标人提供原件或者公示截图并加盖公章。

五、项目

经理答辩(5分)

回答问题准确,思路清晰,内容完整(4-5分)。

回答问题基本准确,思路基本清晰,内容基本准确(3-4分)。

回答问题一般(2-3分)。

回答问题较差(0-2分)。

注:上述证明资料以原件的扫描件用投标文件制作工具生成的投标文件上传为准,否则不予得分。若第一中标候选人被投诉,经查实取消中标资格,则本项目作流标处理,重新招标。

9.投标保证金:

投标申请人在提交投标文件时,应按照有关规定提供人民币 捌万玖仟元整 的投标保证金。

10.发布公告的媒介

本次招标公告在 连云港市公共资源交易网 上发布。

11.联系方式

招标人:灌云县农业农村局             招标代理机构:江苏如浩项目管理咨询有限公司

地址:   灌云县                      地址:连云港市海州区朝阳中路12号

邮编: 222200                        邮编:222000

联系人: 汪工                        联系人:陈工

电话: 0518-80539730                 电话:  0518-85176705/ 15950731832    

传真:                               传真:  0518-85176705                

电子邮件:                           电子邮件:jiangsuruhao@126.com

网址:                               网址:

开户银行:                           开户银行:

账号:                               账号:


重要提醒: 

1.如果您是第一次在连云港地区进行网络投标,请您先联系江苏 CA公司办理网络投标密码锁和企业电子签章,然后联系国泰新点软件公司进行密码锁的激活,用密码锁登陆连云港市公共资源交易网站会员系统进行诚信信息库的操作,以上步骤不进行或操作不完善,可能导致无法进场交易。

连云港市招投标中心地址:连云港市海州区凌州东路9号(公共资源交易中心)江苏CA、江苏翔晟(连云港办事点):连云港市海州区凌州东路9号(公共资源交易中心)

密码锁激活:国泰新点软件公司负责激活

登录网站:连云港市公共资源交易网

因江苏CA业务已被国信CA承接,现将本市认可的 2家CA信息认证机构名单公布如下:

企业名称

中国金融认证中心

江苏省国信数字科技有限公司

CA名称

CFCA

国信CA

联系人

连云港孙丽丽 18005133017

连云港耿立珍 17751872787

周梦雪15298603303

魏  飞18261319191

电话

公司客服: 4001662366

客服电话:4000251010

办公

地址

连云港市海州区凌州东路9号政务服务中心3号楼一楼大厅CFCA窗口

连云港市海州区凌州东路9号政务服务中心3号楼一楼[国信CA]窗口

2.电子标书制作:投标人请到连云港市公共资源交易网“投标人登入”栏下载投标文件制作工具,并下载CA锁驱动、CAD控件等应用程序,用于打开招标文件并制作投标文件。

软件公司名称

联系人

联系电话

广联达

郑磊

13812332568 

刘书丹

18651253807

 

国泰新点

黄桂松

15896100880

朱家旺

18905137238

张海南

18505182641

 

3.疫情防控事项

根据连云港市新冠疫情防控要求,来连、返连人员必须申请使用“苏康码”,江苏省“苏康码”面向所有人开放,持绿码者,可在本行政区域内通行,进出公共场所和乘坐公共交通工具。

开标当天需提前到达开标地点,提供本人身份证原件、“苏康码”,配合中心做好疫情防控检查与登记等工作后递交所有投标文件材料,否则不得进入,一切后果自负。考虑到本项目投标单位众多,为避免现场人员聚集,只允许签到的前三名投标单位在开标现场监标且每家投标单位只可委派一人(必须是法定代表人或者授权委托人),其他投标单位递交完所有投标文件后及时离场。

开标仪式将通过互联网直播的方式向各投标人代表实时播放,各投标人请提前下载“云视讯”,开标当日代理机构工作人员会发布云视讯会议号,请投标单位输入会议号进入及时观看开标仪式,由于投标人自身原因或其他不可抗力导致无法观看直播的,视为接受开标仪式的程序,并认可期间宣读的所有内容。

云视讯操作步骤:

第一步:下载云视讯APP,并注册

第二步:点击加入会议

第三步:输入会议号(开标当日公布会议号)

2、进入开标现场人员,应服从现场工作人员安排,遵守会场纪律,适当保持与他人间隔距离,开标结束后请及时离场。

3、建议乘坐“点对点”特定交通工具来连投标。

4、各投标单位参加开标会议签到的授权委托代理人或者法定代表人请佩戴好口罩等防护用品,不佩戴口罩等防疫用品不得参加开标会议签到。

5、不配合防疫防控工作管理的视为放弃本次投标,因此造成的一切后果由投标单位自行承担。

6、对于开标现场出现发热、非绿码等人员的情况,均由招标人负责处理。

“苏康码”获取:

第一种方法,在手机上下载“江苏政务服务”app。在首页找到“苏康码”按键,点击“苏康码”,再点击“进入应用”,弹出“苏康码”申报页面,开始申报。

第二种方法,可以通过支付宝软件。在支付宝中搜索“江苏政务服务”,找到“苏康码”,然后开始申报。


附件:
4cc7d43e-59fa-4d71-a1e8-4bf2ffe56787